高性能半导体极紫外(EUV)探测器是新一代EUV光刻机、等离子体物理、太阳活动观测,以及系列大科学装置等领域所急需的关键部件。EUV探测器主要针对10-121 nm极紫外谱段光波的剂量与能量探测,由于EUV光子在半导体材料中的穿透深度极浅且光子能量高,导致传统Si基紫外探测器在EUV波段的探测效率偏低且器件性能极易发生退化。因此,研制探测效率高、抗辐射能力强和温度稳定性好的新型EUV探测器一直是学术界和产业界亟待解决的关键问题。以SiC为代表的宽禁带半导体具有本征载流子浓度低、临界位移能高、可见光盲等系列材料性能优势,是制备新一代半导体EUV探测器的优选材料。
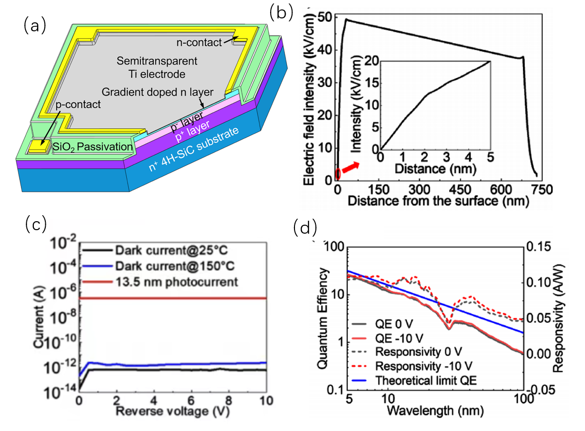
近日,南京大学陆海和张荣教授团队在前期研究基础上,创新设计出一种表面梯度掺杂诱导δn-i-p超浅结SiC二极管,并通过开发选区刻蚀、高温氧化修复与低温金属化工艺,成功实现了国际首支宽禁带半导体pn结型EUV探测器(图2(a))。数值仿真及实验结果证明浓度梯度掺杂形成的δn-i-p结构可以在探测器表面诱导产生与器件内部pn结区电场方向一致的强电场(图2(b)),从而有效减少光生载流子在器件表面死区中的复合损失,大幅提升器件的探测效率。系列片上表征以及封装测试证明该EUV探测器具有接近理论极限的探测效率优势;同时,相较于肖特基结型探测器,pn结受界面态、漏电流及环境温度变化的影响小,性能更加稳定。如图2(c)所示,该大尺寸EUV探测器在室温下的暗电流仅为1pA@-10V,具备探测微弱光信号的优越性能;同时,器件在150°C高温下的暗电流也仅为2pA@-10V,具备在高温环境中工作的应用潜力; 探测器在13.5 nm EUV光辐照下的光电流不随偏置电压发生变化,证明器件能够在光伏模式下工作。此外,该器件在光伏模式下的量子效率高达960%@13.5nm,接近SiC EUV探测器的理论极限(图2(d))。
相关研究成果于2022年5月以“4H-SiC δn-i-p extreme ultraviolet detector with gradient doping-induced surface junction”为题在线发表在IEEE Electron Device Letters 43:906, 2022;其中博士研究生王致远为论文第一作者,通讯作者为陆海教授。

图 2 SiC δn-i-p EUV探测器 (a) 器件结构图;(b) TCAD模拟器件表面电场分布;(c) 室温、150°C条件下的暗电流与光电流特性曲线;(d)探测效率曲线。
南京大学团队在宽禁带半导体紫外探测器领域具有良好的研究基础,已实现多类型高性能半导体紫外探测器的规模化推广应用。团队自2011年起就开展了200 nm以下短波紫外探测器的研制工作,于2013年首先实现了探测波长低至140 nm 的大感光面宽禁带AlGaN基真空紫外探测器(Chinese Physics Letters 30:117301, 2013),这是国内公开报道的第一只半导体真空紫外探测器;在此基础上,该团队进一步发展了探测波长低至5 nm的高量子效率EUV探测器技术,于2020年报道了高性能栅条型横向结SiC EUV探测器(IEEE Photonics Technology Letters 32:791, 2020)。近年来,南京大学团队积极推进技术成果转化,已逐步向国内外若干家大型公司批量供应真空紫外和极紫外探测器,用于大型半导体装备研发。